多维树数据结构
原文:https://www.studytonight.com/advanced-data-structures/nary-tree
N 元树是一种允许我们拥有特定节点的n个子节点的树,因此得名 N 元,这使得它比非常常见的二叉树稍微复杂一些,后者允许我们最多拥有一个特定节点的 2 个子节点。
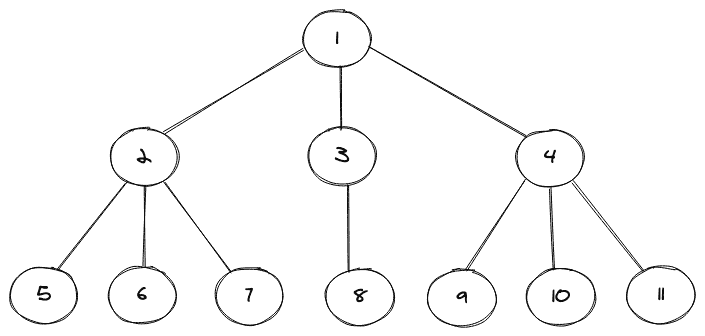
N 元树的图示如下所示:

在上面显示的 N 元树中,我们可以注意到总共有 11 个节点和有些节点有三个子节点,有些只有一个。在二叉树的情况下,更容易存储这些子节点,因为我们可以将两个节点(即左节点和右节点)分配给一个特定的节点来标记它的子节点,但这里并没有那么简单。为了存储任何树节点的子节点,我们使用了另一种数据结构,主要是 C++ 中的 vector 和 Java 中的 LinkedList。
多维树的实现
当我们处理非线性数据结构时,首先要做的是为它们创建我们自己的结构(Java 中的构造器)。就像在二叉树的情况下,我们使用一个类TreeNode,在这个类中,我们创建我们的构造器并拥有我们的类级变量。
考虑下面的代码片段:
public static class TreeNode{
int val;
List<TreeNode> children = new LinkedList<>();
TreeNode(int data){
val = data;
}
TreeNode(int data,List<TreeNode> child){
val = data;
children = child;
}
}
在上面的代码片段中,我们有一个名为TreeNode的类,该类又包含两个同名的构造器,但它们本质上是重载的(方法名相同但参数不同)。我们还有两个标识符,其中一个是存储任何特定节点的值的 val,然后我们有一个 List 来存储树的任何节点的子节点。
上面的片段包含了我们的树的基本结构,现在只剩下制作一个,然后稍后我们将看到如何使用级别顺序遍历来打印树。为了构建一棵树,我们将使用我们在上面的类中定义的构造器。
考虑下面的代码片段:
public static void main(String[] args) {
// creating an exact replica of the above pictorial N-ary Tree
TreeNode root = new TreeNode(1);
root.children.add(new TreeNode(2));
root.children.add(new TreeNode(3));
root.children.add(new TreeNode(4));
root.children.get(0).children.add(new TreeNode(5));
root.children.get(0).children.add(new TreeNode(6));
root.children.get(0).children.add(new TreeNode(7));
root.children.get(1).children.add(new TreeNode(8));
root.children.get(2).children.add(new TreeNode(9));
root.children.get(2).children.add(new TreeNode(10));
root.children.get(2).children.add(new TreeNode(11));
printNAryTree(root);
}
首先,我们创建了我们的 N 元树的根节点,然后我们必须给这个根节点分配一些子节点,我们通过使用点(.)操作符和访问根节点的子属性来实现这一点,然后使用List接口提供的添加方法向根节点添加不同的子节点。一旦我们添加了根节点的所有子节点,就到了添加每个新级别节点的子节点的时候了,我们首先使用列表接口提供的 get 方法访问该节点,然后将相应的子节点添加到该节点。
最后,我们打印这个 N 元树,我们通过调用printNAryTree方法来完成。
现在,由于打印一棵树并不像遍历一组项目那么简单,我们有不同的技术(精确地说是算法)可以使用。这些主要是:
有序遍历
前序遍历
后序遍历
层级顺序遍历
出于本教程的目的,我们将使用级别顺序遍历方法,因为它更容易理解,前提是您之前已经看过它在二叉树上的工作方式。
层级顺序遍历(打印 N 元树)
任何树的级别顺序遍历都考虑到这样一个事实,即我们希望首先在根级别打印节点,然后前进到下一个级别,并不断重复这个过程,直到我们到达最后一个级别。我们利用队列数据结构来存储特定级别的节点。
考虑一个简单的 N 元树,如下所示:

上述树的级别顺序遍历如下所示:
1
2 3 4 5
考虑下面的代码片段:
private static void printNAryTree(TreeNode root){
if(root == null) return;
Queue<TreeNode> queue = new LinkedList<>();
queue.offer(root);
while(!queue.isEmpty()) {
int len = queue.size();
for(int i=0;i<len;i++) { // so that we can reach each level
TreeNode node = queue.poll();
System.out.print(node.val + " ");
for (TreeNode item : node.children) { // for-Each loop to iterate over all childrens
queue.offer(item);
}
}
System.out.println();
}
}
整个代码如下所示:
import java.util.LinkedList;
import java.util.List;
import java.util.Queue;
public class NAryTree {
public static class TreeNode{
int val;
List<TreeNode> children = new LinkedList<>();
TreeNode(int data){
val = data;
}
TreeNode(int data,List<TreeNode> child){
val = data;
children = child;
}
}
private static void printNAryTree(TreeNode root){
if(root == null) return;
Queue<TreeNode> queue = new LinkedList<>();
queue.offer(root);
while(!queue.isEmpty()) {
int len = queue.size();
for(int i=0;i<len;i++) {
TreeNode node = queue.poll();
assert node != null;
System.out.print(node.val + " ");
for (TreeNode item : node.children) {
queue.offer(item);
}
}
System.out.println();
}
}
public static void main(String[] args) {
TreeNode root = new TreeNode(1);
root.children.add(new TreeNode(2));
root.children.add(new TreeNode(3));
root.children.add(new TreeNode(4));
root.children.get(0).children.add(new TreeNode(5));
root.children.get(0).children.add(new TreeNode(6));
root.children.get(0).children.add(new TreeNode(7));
root.children.get(1).children.add(new TreeNode(8));
root.children.get(2).children.add(new TreeNode(9));
root.children.get(2).children.add(new TreeNode(10));
root.children.get(2).children.add(new TreeNode(11));
printNAryTree(root);
}
}
上面代码的输出是:
1 2 3 4 5 6 7 8 9 10 11
我们可以将这个输出与开始时 N 元树的图形表示进行比较,每个级别节点都包含相同的值。
二叉树的类型
以下是二叉树的类型:
1. 全 N 和树
全 N 元树是一种 N 元树,它允许每个节点有 0 或 N 个子节点。
考虑如下所示的完整 N 元树的图示:

请注意,上述 N 元的所有节点都有 4 个子节点或 0 个子节点,因此满足该属性。
2.完全 N 元树
一个完整的 N 元树是一个 N 元树,在这个树中,除了最后一级节点之外,树的每一级节点都应该是完整的(应该正好有 N 个子节点),如果最后一级节点不完整,那么这些节点必须是“尽可能左边的”。
考虑如下所示的完整 N 元树的图形表示:

3.完美 N 元树
一个完美的 N 元树是一个完整的 N 元树,但是叶节点的级别必须相同。
考虑如下所示的完美 N 元树的图形表示:

结论
- 我们了解了什么是二叉树。
- 我们还学习了如何在 Java 中实现 N 元树(通过级别顺序遍历)。
- 然后我们了解了总共有哪些不同类型的 N 元树。